近日,太阳集团2007硕士研究生杜兆巍与导师吕候军教授课题组的关于GRB 230307A中心引擎的研究工作以"The Progenitor and Central Engine of a Peculiar GRB 230307A"为题发表在期刊《The Astrophysical Journal Letters》上(自然指数期刊)。
最近,一个位于z=0.065处的长且没有观测到关联超新星现象,但观测到千新星信号的伽马暴被探测到(GRB230307A),引起了极大的关注。它的重元素合成的信号以及软X射线波段的特征信号意味着双致密星合并后产生了磁星。计算得到的ϵ ~ 0.05较低意味着GRB 230307A的前身星模糊不清。较低的
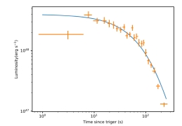
则说明GRB 230307A不是由于“tip of iceberg”效应所产生的。文中利用磁星作为中心引擎的模型和可变效率模型来拟合观测到的软X射线信号,且拟合得到的参数处于合理的区间内,如当
时
,
ms,当
时
,
ms。关于GRB 230307A的前身星究竟是中子星-中子星合并还是中子星-白矮星合并始终是个未知数,探测对应的引力波信号可以有效的帮助我们分辨类GRB 230307A事件的前身星。

左图:利用磁星中心引擎模型和可变效率模型给出的拟合结果;
右图:拟合给出的磁星参数落在合理的区间范围内。
论文作者:杜兆巍(硕士生),吕候军(通讯作者),袁泳,杨星(博士生),梁恩维。
论文链接:https://iopscience.iop.org/article/10.3847/2041-8213/ad22e2