太阳集团2007 太阳集团2007

研究进展

    研究进展

    当前您的位置: 首页 > 研究进展 > 正文

    2022年学术进展系列之24:太阳集团2007硕士研究生黄俊翔与导师在新生磁星的引力波辐射方面研究获得进展

    日期: 2022-05-16 浏览次数:

    近日,太阳集团2007硕士生黄俊翔和导师吕候军教授课题组的关于新生磁星的引力波的研究工作Gravitational-wave evolution of newborn magnetars with different deformed structures为题发表在国际权威期刊《物理评论D》(Physical Review D)上Nature index期刊

    引力波(GWs)是广义相对论的一个预言。从理论的角度来看,强烈的引力波信号可以由灾难性事件产生,如黑洞合并、中子星碰撞以及超新星爆炸。此外,据预测,微弱的引力波信号会从旋转的中子星发出。然而,从非对称结构的孤立体发出的连续引力波信号至今仍未被探测到。

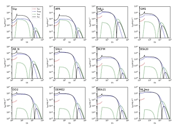
    假设新生磁星的形变结构不是由单一机制引起的,而是由多个时变四极矩引起的,如磁致形变、星震致椭率和吸积柱导致的形变。研究发现,新生磁星由于其结构变形,可能会产生微弱的引力波辐射。磁星的演化与磁星的物理参数(周期和表面磁场)、绝热指数和极向磁能占总磁能的比例有关。一般来说,当磁星表面磁场较大时,磁形变产生的引力波辐射占主导地位,而在其他磁星参数不变的情况下,当绝热指数较大时,磁星星震产生的引力波辐射更有效。他们还发现,引力波辐射对不同磁星状态方程不是很敏感。


    1.给定条件下不同状态方程引力波光度的演化

     

    2. 10 Mpc()40 Mpc()处不同EOS的引力波应变随磁星频率的演变。

    黑色虚线为ET的灵敏度极限,黑色和灰色实线分别为aLIGO-HanfordaLIGO-Livingston的灵敏度极限。

     

       论文作者:黄俊翔(硕士生),吕候军(通讯作者),Jared Rice,梁恩维。

       论文链接:https://ui.adsabs.harvard.edu/abs/2022arXiv220502451H/abstract

     

    太阳集团2007联系地址:广西区南宁市大学东路100号

    太阳集团2007联系电话:0771-3237386

    太阳集团2007邮 编 :530004

    关注我们

    太阳集团2007
    太阳集团2007

    版权所有:太阳集团2007(有限公司)-官方网站

    Baidu
    sogou