太阳集团2007 太阳集团2007

研究进展

    研究进展

    当前您的位置: 首页 > 研究进展 > 正文

    2022年学术进展系列之80:太阳集团2007新型高性能材料团队欧阳义芳教授课题组在复合材料领域取得新进展

    日期: 2022-12-22 浏览次数:

    近日,太阳集团2007欧阳义芳教授团队开展了三维石墨烯掺杂对AlSiC复合材料的性能影响的研究。研究成果以"Effects of 3D graphene networks on the microstructure and physical properties of SiC/Al composites"为题发表在《Ceramics International》期刊上。

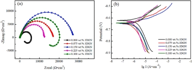
    铝基碳化硅复合材料(SiC/Al)因其优异的机械性能、成本低廉、良好的尺寸稳定性和高耐磨性而广泛应用于航空航天、交通运输、电子等领域。近年来,为了获得更高的强度,研究者更加关注SiC含量高(>30 vol%)的SiC/Al。但高含量的SiC会使得增强颗粒团聚、AlSiC的结合界面结合力变弱、材料缺陷增多,进而导致材料的韧性急剧下降。在本文中,作者们通过球磨加电火花烧结的方式在SiC/Al中加入三维石墨烯(3DGN),发现一定量的3DGN添加可以有效提升高SiC含量Al基复合材料的塑形和强度,同时提升抗腐蚀能力。这是由于3DGN起到粘接作用,改善AlSiC的界面连接和减缓了SiC的团聚,从而减少了材料的缺陷,提升材料的塑形和抗腐蚀能力。该成果为AlSiC的强塑形协同提供了一种有效的方案,推动了Al基复合材料的发展。

     

     

    该工作获得国家自然科学基金,广西自然科学基金等资助。

    论文作者:曾梦(硕士生),林奎鑫(博士生),周柱坤,陈红梅,陶小马,欧阳义芳(通讯作者),杜勇

    论文链接:https://doi.org/10.1016/j.ceramint.2022.10.337

    太阳集团2007联系地址:广西区南宁市大学东路100号

    太阳集团2007联系电话:0771-3237386

    太阳集团2007邮 编 :530004

    关注我们

    太阳集团2007
    太阳集团2007

    版权所有:太阳集团2007(有限公司)-官方网站

    Baidu
    sogou